In this essay, the author shows that the current global financial crisis sheds more light on macroeconomics as a subject than the other way around.
By Neha Bandi, 16th September 2012
The 2008 global financial crisis was an outcome of certain major aspects of macroeconomics. Low interest rates prevailed for almost a decade and spawned a huge surge in mortgage lending, led by a long record of growth with lower inflation in the pre-crisis period. These conditions led financial institutions to expand the realm of structured financing and securitisation to boost revenue sources, resulting in huge growth in the alternative instruments functioning outside the rigour of formal regulation. Extremely easy monetary policy led to the global macroeconomic imbalances with developed markets facing deficits and emerging markets accumulating huge forex resources. Deregulation of financial markets reduced the distance between commercial and investment banking, sizeably relaxing norms for leverage quality applicable to financial institutions and intermediaries. Relaxed leverage ratios expanded the risk exposure of institutions.
Undertaking New Consensus Macroeconomics as a macroeconomic model
Approximately five decades ago, during the period of ‘golden age growth’ the macroeconomic policy regime was mainly ‘Keynesian’ which suggested that the principle instrument of demand management policy and macroeconomic policy in general was considered to be fiscal policy, which eventually promoted full employment. Thus, if governments chose to slowdown the economy, to avoid inflation or balance-of-payments deficits, or to speed it up to offset recession, then governments would sort to adjust aggregate government expenditure and/or taxes (therefore, changing the level of budget deficit). Simultaneously, however, during the 1960s, monetarist economists led by Milton Friedman, Karl Brunner, and Allan Meltzer showed show that a central bank had the monetary policy tools to act against inflation. Monetarists first gathered evidence that although short-term inflation can be influenced by many factors, sustainable long-term inflation is always associated with excessive money growth. They also developed an evidence backed theory of money demand suggesting that control of money is necessary to control the trend rate of inflation; and that this control of money can be exercised by the central bank through its monopoly on currency and bank reserves, even if it was difficult to foresee the fluctuations in the demand for money (Goodfriend, M. 2007).
Further, the Volcker disinflation1 (VD) taught several lessons that are among the founding principles of the new consensus on monetary policy. The VD supported the monetarist’s message that monetary policy alone, without wage, price, or credit controls, and without supportive fiscal policy, could control and reduce inflation permanently at a cost to output and employment. Second, an independent central bank will be able to acquire low inflation without a significant role played by the government. Third, a well-planned tightening of policy rates can control inflation expectations and anticipate a rise in inflation without creating a recession. The much talked about New Consensus Macroeconomics model, however, has been subject to various criticisms, mainly on the above-mentioned grounds.
The New Consensus Macroeconomics was the result of a collaborative effort made by the academia and policymakers. It had similar features of the typically large macroeconomic models of 1960s and 1970s, thus conforming to convergence of a shared theoretical framework of academia and policy makers drawn on past theoretical and empirical advances.
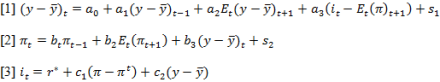
In short, the NCM model is based on three equations, namely the changes in output gap (equation 1), in the inflation rate (equation 2) and in the interest rates (equation 3). All these equations have been derived keeping in mind with the optimizing behaviour of individual agents in an economy vulnerable to market failures, imperfect competition, asymmetric information and incomplete markets.

In the above three equations,
-
α3<0 and α0 is a constant indicating that, among others things, the effects of fiscal variables on the output gap (y-y‾).
-
Et is the expectations operator; it is the nominal interest rate controlled by the central bank.
-
π is the rate of inflation.
-
πT is the target for the inflation rate.
-
r* is the equilibrium real interest, namely the interest rate that prevails in the long-run when current output y is at potential level y.
-
S1,S2 represent stochastic shocks.
In the first equation, it can be concluded that the NCM model considers micro-foundations by suggesting that the current output gap can be derived by the past and future expected output gaps and the real interest rate and it also relates the real interest rate to the current output gap and the potential output gap. In the second equation, the current output gap can be measured by past and expected future inflation rates, being consistent with the first equation. The third equation states that the nominal interest rate is explained by the current output gap, the deviation of current inflation from its target, and the equilibrium real interest rate.
In all the above mentioned equations, the NCM states the importance of central banks as playing a significant role in maintaining price stability and overall output stabilization in the long run but fails to incorporate the importance of fiscal policy and the role of government with regards to economic stabilization.
Supporters of the conventional NCM justify the additional attention to monetary policy, as a medium to control and target inflation. In practise, however, central banks can associate inflation targeting though the use of short-term interest rates as a policy instrument. According to Allsopp and Vines (2005), inflation targeting may not necessarily involve using a policy instrument to lower the output gap to its best potential supply in order to stabilize the economy. In short, such reaction functions can use any policy instrument that affects aggregate demand. Moreover, supporters of the NCM model have also mentioned the superiority of monetary policy over fiscal policy on the basis that the so-called ‘Ricardian equivalence’ theory does not hold2. Allsopp and Vines (2005) consider an individual or a company is handed over a stock of domestic national debt (it is also important to note that a gilt-edged stock cannot be considered as net wealth3 as compared to capital stock that can be considered as net wealth). This said, it is not the best option to assume that a shift from tax financing and debt financing will have no impact of a private agent’s consumption or spending behaviour. In the short-run, a private agent is likely to consider a bond-financed deficit as an effective provision of credit, which would have an impact on his spending, thus collectively further impacting inflation. Thus, in such a framework, policy makers can focus on maintaining a certain optimum level of national debt as fluctuations in the level of national debt can affect the economy via wealth effects. For instance, a rise in the bond stock (depending on the interest rates) can lead to rising prices and inflation. Finally, fiscal policy has also been side-lined on the basis that it is often exposed to political interference, limiting its actual usefulness. The cost of changing fiscal policy can be larger than the cost of changing interest-rates, and also an active use of fiscal policy might lead to persistent deficits and a build-up of national debt.
Another important criticism of the NCM was the limited role given to the government with regards to influencing aggregate demand. In contrast, the government can easily alter aggregate demand.

The above equation reflects the government’s ability to alter and operate fiscal variables G (government expenditure) and T (Taxes). Changes in these fiscal variables can influence changes in the constant a0 in equation [1] of the NCM which can further create direct and indirect (via private consumption and investment) effects on the aggregate demand (AD) function. Further, changes in the AD function can change the level of current output ‘y’ in the output gap (y-y‾) and via equation [2], the current inflation rate. Thus, appropriate alterations by the government in expenditures and taxes would be able to maintain the current inflation rate to its desired target level.
Loose Macroeconomic Policy gives way to a financial downturn
To summarize, macroeconomics policy consisted of two devices, the monetary policy and the fiscal policy, to maintain a stable economy. Monetary policy was given more weightage, which would maintain a stable rate of inflation with the help of interest rates. As long as inflation was maintained at a suggested stable rate, the output gap would be minimal and monetary policy did what was required4.

Figure 1: Interest Rates in Selected Countries Change from August 2007-December 2008 (basis points)
Rates are country-specific; for instance, the Federal funds rate in the US, the Repo rate in the UK. As a measure of reviving the economy, a wide range of policy measures, including reduction in interest rates and launching of fiscal stimulus packages, were initiated.
Theoretically, these views were more often held strongly by individuals from academia; policymakers are assumed to be more realistic and pragmatic and are assumed to draft economies policies that would suit the current economic conditions. However, in reality, it was different; very few central banks concerned themselves with controlling or maintaining inflation. Most of the banks tried maintaining inflation within a particular range or a bracket, allowing for shifts in the headline inflation (for instance shifts caused by oil prices), as long as the expectations over inflation were not overturned. Banks started focusing more on asset prices such as housing prices, stock indexes, and exchange rates. To add to this, financial regulation was assumed to be outside the macroeconomic framework.
During the years preceding the crisis, interest rates remained exceptionally low (IMF, Initial Lessons of the Crisis, 2009). To add to this, there is a belief that low real short-term rates reflected accommodating monetary policy. This financial setting allowed for a high degree of central bank credibility and financial liberty as central banks in developed economies concluded that it was possible to maintain low levels of inflation with low interest rates (in most countries core inflation remained well within its explicit or implicit targets). In developed countries, low real long-term rates bore a larger yield. There was high savings and surpluses in Asian economies and other emerging markets (including other oil exporting economies) that preferred investing in the safe U.S assets, which were considered both less risky and more liquid. Thus, there was a large capital flows from surplus countries to the United States.

Figure 2: Investment in Hedge Funds
This financial liberty also allowed for two trends in the banking industry which led to the sub-prime losses and a build-up of a systemic risk. First, banks started implementing the ‘originate and distribute’ model; wherein banks would repackage loans with impressive returns, instead of just holding loans on banks’ balance sheets, and pass it on to other financial investors, thereby reducing risk. Secondly, banks also started financing their asset holdings with shorter maturity instruments. This change left banks particularly exposed to a dry-up in funding liquidity.
The rise of such securitized or ‘packaged’ financial instruments ultimately led a flood of funds. In 1994, $35 billion in subprime mortgages were issued and by 2006, that number rose to more than $600 billion. Mukherjee, Seru, and Vig (2008) offer empirical evidence that such an increased securitization led to a decline in credit quality. There was a rise of teaser rates (rates which are below the market rates) to entice borrowers; plus there was also a rise of mortgages which did not require any documentation/cross-checking. NINJA (“no income, no job or assets”) loans also observed an uphill with the belief that all these mortgages could be undertaken without any background checks necessary as the real estate market will always witness a rise, ensuring the borrowers that they will always be able to pay back their loans with the increased market value of their house.

Figure 3: Structured credit issuance by type
The combination of loose mortgage deals and low lending standards led to an increase in systemic risk (housing turmoil), leading to a crisis. By early 2007, many observers showed concerned about a possible “liquidity bubble” or “credit bubble” (for example, Berman, 2007). However, they were unwilling to bet against the bubble. As per a theoretical model presented in Abreu and Brunnermeier (2002, 2003) paper, it was perceived that it would be “more profitable to ride the wave than to lean against it”. Nevertheless, there was a widespread acceptance that there would be a bursting of the liquidity bubble one day. Citigroup’s former chief executive officer, Chuck Prince, summed up the situation on July 10, 2007 by referring to Keynes’s analogy between bubbles and musical chairs (Nakamoto and Wighton, 2007): “When the music stops, in terms of liquidity, things will be complicated. But as long as the music is playing, you’ve got to get up and dance. We’re still dancing.” This game of musical chairs, combined with the vulnerability of banks to dry-ups in funding liquidity, ultimately led to the 2007 crisis (As cited in Brunnermeier 2007). In 2006, short-term interest rates rose while the value of homes dropped. Borrowers which were not credit worthy did not have the resources to pay back their debts, chose to sell their homes to pay off mortgages when they were unable to make monthly payments. Rising defaults on subprime mortgages caused rating agencies to downgrade mortgage backed securities. Investors in those securities suffered substantial losses with adverse impact on liquidity in the financial markets.
There is no denying that there was a large interference of sheer neglect with the financial approach. Many argue that the main culprit in leading to the crisis is lack of efficient regulation. During the pre-crisis period, macroeconomic forces were at work. Low interest rates kept encouraging financial investors around the world to look for higher yields with less risky products. On the other side, and partly in response to the demand, the financial system developed new structures and created new instruments that seemed to offer higher risk-adjusted yields, but were in fact more risky than they appeared. Absence of financial regulation contributed to the amplification effects that transformed the decrease in U.S. housing prices into a major world economic crisis. The absence of effective regulation gave incentives to banks to create off-balance-sheet entities, thus avoiding prudential rules and increasing leverage. Once the crisis hit, rules aimed at assuring the dependability of individual institutions worked against the stability of the system. In this setting, market discipline failed. Due diligence was then outsourced to credit rating agencies, to build optimism and a financial sector compensation system based on short-term profits reinforced the momentum for risk taking.

Figure 4: General Government Fiscal Balances (% of GDP)
Finally, in many countries, including the U.S., budget deficits were not reduced sufficiently during the boom years when there were high revenues, which further imposed limitations on the fiscal front to fight the crisis.
Rethinking Macroeconomic Policy
There are lessons from the current and past crises for the conduct of macroeconomic policy. How assets are held and who is exposed to the eventual crash should be considered while policy responses are planned. Asset price led booms, primarily led by leveraged financing (thus involving financial intermediaries) should be dealt with, since they involve risks associated with the supply of credit in an economy.
One of the main problems, according to Willen Buiter, is the assumption of complete markets in most of the New Classical and New Keynesian macroeconomics which assumes away the problem of contract enforcement. This is truly a world with “selfish, rational, opportunistic agents, able and willing to lie and deceive and only a small set of voluntary transactions will ever be observed, relative to the universe of all potentially feasible transactions.”
Paul Krugman believes the economics profession to have gone astray because economists, as a group, may have misunderstood the impressive mathematical equations led macroeconomic models as the truth. There was a time when most economists took capitalism as a perfect system, however, Great Depression set in with mass unemployment and opinions changed. The memories of the great depression started fading away “economists fell back in love with the old, idealized vision of an economy in which rational individuals interact in perfect markets, this time gussied up with fancy equations.”
Similar on those lines, Tim Bensley views suggest that there was a lack of clear understanding of the nature of financial sector risk, in addition to the view that crisis would mainly occur in emerging-markets and developing economies. One of the reasons for this could be that the study of the financial sector currently falls under a separate branch of economics and not the mainstream economics. A separate branch of study can then lead to become an independent branch, loosing ties with its original approach. Many practitioners now learn the financial economics that they put into practice in business schools rather than economics departments (as cited by Willem Buiter).
This said, the romanticized version of mathematical equations, backed by unrealistic assumptions and fascinating results led to economists believing that nothing could go wrong, as long as their models incorporated different variables and predicted results. There was little importance given to the rational side of human spending and the emotional attachment to money/credit; there was also neglect over the mere functioning of financial markets, where institutions with imperfect information is a natural setting. This collectively can cause an economy’s functioning and health to undergo a sudden and costly downturn and can create results and consequences when authorities don’t believe in regulation.
Conclusion
According to Paul Krugman, it seems clear that economists will have to accept the irrational and unpredictable behaviour and imperfections of markets. Financial innovation and complex financial models help allot values to factors that help interpret the world, but their scope of predicting accurate end results is very limited, since the quotient of human rationality and his sentiment towards money/credit is not fully covered. It is better to be rational and avoid assuming that a theoretical simplification can be considered as a complete description of reality. Models must be taken realistically, however it must be noted that they capture at most a small portion of reality. It would rather be more rational to efficiently and effectively translate policy advice instead of holding markets as a self-enhancing and self-protective mechanism.
Crisis is an expensive ordeal, but it is also the result of financial innovation and risk-taking, two factors that help in financial progress. However, strengthening the financial system with good macroeconomic policies, efficient regulatory devices and better institutional arrangements, and a structural reform of financial sector to remove some of the key vulnerabilities will help minimize the consequences and the probability of a crisis.
Notes:
1The change in inflation that occurred during 1980- 1984, when the Federal Reserve System was headed by Paul Volcker, is arguably the most widely discussed macroeconomic event of the last 50 years of U.S. macroeconomic history. Prior to this time, inflation had been dramatically rising, but under Volcker, the Federal Reserve System first contained and then reversed this process.
2Ricardian Equivalency theory states that when government finances it’s spending through either issuing bonds or by raising taxes, the total level of demand in the economy will still remain unchanged This is because the consumer would prefer to save more now to be prepared for the rise in current taxes (with tax-financed government expenditure) or a rise in future taxes (due to bond-financed government expenditure), as the government will have to pay back its debts. The increased government spending is therefore exactly offset by decreased consumption on the part of private agents.
3Robert Barro in his journal Are Government Bonds Net Wealth? mentions that government bonds cannot be necessarily be considered as net wealth, as the government might increase taxes in the future in order to redeem the bonds value during its maturity period.
4Rethinking Macroeconomic Policy, 2009
References:
Allsopp, C. and Vines, D. (2005), “The Macroeconomic Role of Fiscal Policy”, Oxford Review of Economic Policy, 21(4), 485-508.
Barrow, R. ‘Are Government Bonds Net Wealth?’Journal of Political Economy, Vol. 82, No. 6 (Nov. – Dec., 1974), pp. 1095-111.
Besley, T (May 2011), ‘Rethinking Economics: Introduction and Overview.’ Global Policy Volume 2, Issue 2.
Bernanke, Ben (March 2008). “Fostering Sustainable Homeownership”. National Community Reinvestment Coalition Annual Meeting presented at Washington, D.C, United States (http://www.federalreserve.gov/newsevents/speech/bernanke20080314a.htm)
Blanchard, Olivier., Dell’Ariccia, G, and Mauro, P. (February 2010), “Rethinking Macroeconomic Policy”. International Monetary Fund.
Brunnermeier K. M. (2009), “Deciphering the Liquidity and Credit Crunch 2007–2008”, Journal of Economic Perspectives, Volume 23, Number 1, Pages 77–100.
Buiter, Willem (March 3rd, 2009). “The unfortunate uselessness of most ’state of the art’ academic monetary economics.”
De Gregorio, José, (4 September 2009), Governor of the Central Bank of Chile, “Macroeconomics, economists and the crisis”, at the Annual Meeting of the Society for the Chilean Economy (SECHI), Antofagasta.
Fontana, G. “The Unemployment Bias of the New Consensus View of Macroeconomics”
Fontana, G (May 2009). “Whither New Consensus Macroeconomics? The Role of Government and Fiscal Policy in Modern Macroeconomics” Working Paper no. 563. The Levy Institute of Bard College.
Goodfriend, M. (November 2007), ‘How did the World Achieve Consensus on Monetary Policy’, Working Paper 13580, National Bureau of Economic Research.
Goodfriend, M and King, R. (November 2004), “The Incredible Volcker Disinflation”
“Initial Lessons of the Crisis”, February 6, 2009. Approved by Olivier Blanchard, Jaime Caruana, and Reza Moghadam. Prepared by the Research, Monetary and Capital Markets, and Strategy, Policy, and Review Departments, International Monetary Fund.
Krugman, Paul., September 2nd, 2009. “How Did Economists Get It So Wrong?”. The New York Times.
“Lessons of the Financial Crisis for Future Regulation of Financial Institutions and Markets and for Liquidity Management” (February 4th, 2009), Prepared by the Monetary and Capital Markets Department, Approved by Jaime Caruana, International Monetary Fund.
Stiglitz E., Joseph. “Macroeconomics, Monetary Policy, and the Crisis”
Sources of graphs:
Figure 1, 2 and 4: Financial Markets Under Stress, An Update (January 2009), Financial Technologies Knowledge Management Company Limited
Figure 3: Blundell-Wignall, Adrian, “Structured Products: Implications for Financial Markets”, Financial Market Trends, Volume 2007/2, No. 93.